|
CAS#: 84540-49-8 产品: 1-[二(2-羟基乙基)氨基]-1-脱氧-D-山梨糖醇 暂时没有厂家供应该产品。 |
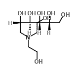
| 产品名称 | 1-[二(2-羟基乙基)氨基]-1-脱氧-D-山梨糖醇 |
|---|---|
| 英文名 | 1-[Bis(2-hydroxyethyl)amino]-1-deoxy-D-glucitol |
| 分子结构 | ![]() |
| 分子式 | C10H23NO7 |
| 分子量 | 269.29 |
| CAS 登录号 | 84540-49-8 |
| EINECS 登录号 | 283-143-3 |
| 分子行输入简码 SMILES | O[C@H]([C@@H](O)CN(CCO)CCO)[C@H](O)[C@H](O)CO |
| 国际化学标识码 InChI | 1S/C10H23NO7/c12-3-1-11(2-4-13)5-7(15)9(17)10(18)8(16)6-14/h7-10,12-18H,1-6H2/t7-,8+,9+,10+/m0/s1 |
| 国际化学标识检索码 InChIKey | UURSKAGLHMBPNT-SGIHWFKDSA-N |
| 密度 | 1.456g/cm3 (计算值) |
|---|---|
| 沸点 | 594.13°C at 760 mmHg (计算值) |
| 闪点 | 378.433°C (计算值) |
| 市场分析报告 |