全球化学品在线数据库

6-脱氧蔗糖
[CAS 92596-12-8]

供应商
CAS#: 92596-12-8
产品: 6-脱氧蔗糖
暂时没有厂家供应该产品。
基本信息
产品名称 6-脱氧蔗糖
英文名 6-Deoxysucrose
别名 (2R,3R,4S,5S,6R)-2-[(2R,3S,4S,5R)-3,4-Dihydroxy-2,5-Bis(Hydroxymethyl)Tetrahydrofuran-2-Yl]Oxy-6-Methyl-Tetrahydropyran-3,4,5-Triol; (2R,3R,4S,5S,6R)-2-[[(2R,3S,4S,5R)-3,4-Dihydroxy-2,5-Bis(Hydroxymethyl)-2-Tetrahydrofuranyl]Oxy]-6-Methyltetrahydropyran-3,
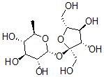
分子结构 CAS 登录号:92596-12-8, 6-脱氧蔗糖
分子式 C12H22O10
分子量 326.30
CAS 登录号 92596-12-8
分子行输入简码 SMILES [C@@H]2(O[C@]1(CO)[C@@H](O)[C@H](O)[C@H](O1)CO)[C@H](O)[C@@H](O)[C@H](O)[C@H](O2)C
国际化学标识码 InChI 1S/C12H22O10/c1-4-6(15)8(17)9(18)11(20-4)22-12(3-14)10(19)7(16)5(2-13)21-12/h4-11,13-19H,2-3H2,1H3/t4-,5-,6-,7-,8+,9-,10+,11-,12-/m1/s1
国际化学标识检索码 InChIKey XTZDYCVKIDQZIN-GWRCVIBKSA-N
物理化学性质
密度 1.669g/cm3 (计算值)
沸点 630.384°C at 760 mmHg (计算值)
闪点 335.044°C (计算值)
市场分析报告
相关产品
脱氧鸭嘴花碱酮  脱氧鸭嘴花碱盐酸盐; 去氧鸭嘴...  1-脱氧野尻霉素; (2R,3...  2'-脱氧异胞苷  2’-脱氧异胞苷-5’,5’-...  2'-脱氧异鸟苷  15-脱氧尤可甾醇  6-脱氧杂色曲霉素A  11-脱氧泽泻醇 B  3-脱氧蔗糖  (R)-2'-脱氧助间型霉素  4-脱氧紫红孢菌素  O-6-脱氧-α-L-吡喃半乳...  7-N-(4-O-唾液基苯基)...  唾液基对红细胞糖苷  O-唾液酸  唾液酸化酶 X  6-O-alpha-唾液酰-2...  6-唾液酰-D-乳糖  唾液酰-Le(a) 低聚糖