|
CAS#: 94116-20-8 产品: 胍真菌素 B 暂时没有厂家供应该产品。 |
| 产品名称 | 胍真菌素 B |
|---|---|
| 英文名 | Guanidylfungin B |
| 别名 | 3-[[(13E,23E)-19-[(E)-9-Guanidino-1,3-Dimethyl-Non-3-Enyl]-1,3,7,9,11,25,27,29,31,35,36-Undecahydroxy-4,8,12,16,20,24,26-Heptamethyl-17-Oxo-18,37-Dioxabicyclo[31.3.1]Heptatriaconta-13,23-Dien-15-Yl]Oxy]-3-Oxo-Propanoic Acid; 3-[[(13E,23E)-19-[(E)-9-Guanidi |
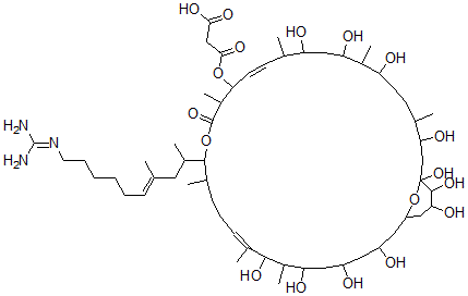
| 分子结构 | ![]() |
| 分子式 | C57H101N3O18 |
| 分子量 | 1116.43 |
| CAS 登录号 | 94116-20-8 |
| 分子行输入简码 SMILES | C(C(C2OC(=O)C(C(OC(=O)CC(O)=O)/C=C/C(C(O)CC(O)C(C(O)CCC(C(O)CC1(OC(CC(O)C1O)CC(O)CC(O)CC(O)C(C(O)C(=C/CCC2C)/C)C)O)C)C)C)C)C)\C(=C\CCCCCN=C(N)N)C |
| 国际化学标识码 InChI | 1S/C57H101N3O18/c1-31(15-12-10-11-13-22-60-56(58)59)23-36(6)53-35(5)17-14-16-34(4)52(72)38(8)45(65)26-41(62)24-40(61)25-42-27-47(67)54(73)57(75,78-42)30-48(68)33(3)18-20-43(63)37(7)46(66)28-44(64)32(2)19-21-49(39(9)55(74)77-53)76-51(71)29-50(69)70/h15-16, |
| 国际化学标识检索码 InChIKey | DVNBCGGJVDKDQA-UCNQLLDXSA-N |
| 密度 | 1.293g/cm3 (计算值) |
|---|---|
| 沸点 | 1192.961°C at 760 mmHg (计算值) |
| 闪点 | 675.279°C (计算值) |
| 市场分析报告 |