全球化学品在线数据库

尿苷 5'-(二磷酸三氢酯) P'-[2-(三甲基铵基)乙基]酯内盐
[CAS 99492-83-8]

供应商目录
卡博森斯化学科技 (苏州) 有限公司 中国
www.carbosynth.cn
+86 (512) 6260-5585
+86 (512) 6260-5576
sales@carbosynth.com
QQ Chat
化学品生产商 (2006年起)
chemBlink 标准供应商 (2016年起)

基本信息
产品名称尿苷 5'-(二磷酸三氢酯) P'-[2-(三甲基铵基)乙基]酯内盐
英文名Uridine 5'-(trihydrogen diphosphate) P'-[2-(trimethylammonio)ethyl] ester inner salt
别名UDP-choline
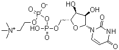
分子结构尿苷 5'-(二磷酸三氢酯) P'-[2-(三甲基铵基)乙基]酯内盐分子结构 (CAS 99492-83-8)
分子式C14H25N3O12P2
分子量489.31
CAS 登录号99492-83-8
市场分析报告
相关产品
尿苷 2',3'-环磷酸酯  尿苷 2'-单磷酸酯锂盐  尿苷 3',5'-环单磷酸酯  鸟苷 3',5'-环单硫代磷酸...  鸟苷 3',5'-环磷酸酯  尿苷 3'-单磷酸酯  尿苷 3'-二磷酸酯 5'-二...  尿苷 5'-(1H-咪唑-1-...  尿苷 5'-(2-乙酰氨基-2...  鸟苷 5'-(alpha,be...  鸟苷 5'-(二磷酸三氢酯)三...  鸟苷 5'-(gamma-氟三...  尿苷 5'-(O-2-乙酰氨基...  尿苷 5'-(三氢二磷酸酯) ...  尿苷 5'-(三氢二磷酸酯) ...  鸟苷 5'-(三氢二磷酸酯) ...  尿苷 5'-(三氢二磷酸酯) ...  尿苷 5'-(三氢二磷酸酯) ...  尿苷 5'-(三氢二磷酸酯) ...  尿苷 5'-(三氢二磷酸酯) ...