Online Database of Chemicals from Around the World

Megalomycin C
[CAS 101027-35-4]

Suppliers
CAS#: 101027-35-4
Product: Megalomycin C
No suppilers available for the product.
Identification
Name Megalomycin C
Synonyms [(2S,3S,4R,6R)-6-[[(3R,4S,5S,6R,7R,9R,11R,12R,13S,14R)-6-[(2R,3S,4R,6S)-4-Dimethylamino-3-Hydroxy-6-Methyl-Tetrahydropyran-2-Yl]Oxy-7-[(2S,4R,5R,6S)-4-Dimethylamino-5-Hydroxy-6-Methyl-Tetrahydropyran-2-Yl]Oxy-14-Ethyl-12,13-Dihydroxy-3,5,7,9,11,13-Hexamethyl-2,10-Dioxo-1-Oxacyclotetradec-4-Yl]Oxy]-3-Hydroxy-2,4-Dimethyl-Tetrahydropyran-4-Yl] Acetate; Acetic Acid [(2S,3S,4R,6R)-6-[[(3R,4S,5S,6R,7R,9R,11R,12R,13S,14R)-6-[[(2R,3S,4R,6S)-4-Dimethylamino-3-Hydroxy-6-Methyl-2-Tetrahydropyranyl]Oxy]-7-[[(2S,4R,5R,6S)-4-Dimethylamino-5-Hydroxy-6-Methyl-2-Tetrahydropyranyl]Oxy]-14-Ethyl-12,13-Dihydroxy-3,5,7,9,11,13-Hexamethyl-2,10-Dioxo-1-Oxacyclotetradec-4-Yl]Oxy]-3-Hydroxy-2,4-Dimethyl-4-Tetrahydropyranyl] Ester; Acetic Acid [(2S,3S,4R,6R)-6-[[(3R,4S,5S,6R,7R,9R,11R,12R,13S,14R)-6-[(2R,3S,4R,6S)-4-Dimethylamino-3-Hydroxy-6-Methyl-Tetrahydropyran-2-Yl]Oxy-7-[(2S,4R,5R,6S)-4-Dimethylamino-5-Hydroxy-6-Methyl-Tetrahydropyran-2-Yl]Oxy-14-Ethyl-12,13-Dihydroxy-2,10-Diketo-3,5,7,9,11,13-Hexamethyl-1-Oxacyclotetradec-4-Yl]Oxy]-3-Hydroxy-2,4-Dimethyl-Tetrahydropyran-4-Yl] Ester
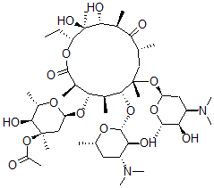
Molecular Structure CAS#: 101027-35-4, Megalomycin C
Molecular Formula C46H82N2O16
Molecular Weight 919.16
CAS Registry Number 101027-35-4
SMILES [C@@]4(O[C@@H]1O[C@H]([C@H](O)[C@H](N(C)C)C1)C)([C@H](O[C@H]2O[C@H](C[C@@H](N(C)C)[C@@H]2O)C)[C@H]([C@H](O[C@@H]3O[C@H]([C@H](O)[C@](OC(=O)C)(C3)C)C)[C@H](C(O[C@@H]([C@@](O)([C@H](O)[C@H](C(=O)[C@@H](C4)C)C)C)CC)=O)C)C)C
InChI 1S/C46H82N2O16/c1-17-32-46(12,56)39(53)24(4)35(50)22(2)20-45(11,64-33-19-31(48(15)16)36(51)27(7)58-33)41(62-43-37(52)30(47(13)14)18-23(3)57-43)25(5)38(26(6)42(55)60-32)61-34-21-44(10,63-29(9)49)40(54)28(8)59-34/h22-28,30-34,36-41,43,51-54,56H,17-21H2,1-16H3/t22-,23+,24+,25+,26-,27+,28+,30-,31-,32-,33+,34+,36+,37+,38+,39-,40+,41-,43-,44-,45-,46-/m1/s1
InChIKey NUUJSKZDERPQHB-WOEOKSAPSA-N
Market Analysis Reports
Related Products
Mefexamide Hydr...  Mefloquine  Mefloquine;(R*,...  Mefloquine hydr...  Mefloquine-Sulf...  Mefluidide;N-[2...  Mefruside;4-Chl...  Mefruside Lacto...  Megacarpidine;N...  Megalomycin A 4...  4,6,8-Megastigm...  4,7,9-Megastigm...  Megastigm-7-ene...  7-Megastigmene-...  Megestrol;17-Hy...  Megestrol Aceta...  Megestrol aceta...  Meglitinide;4-[...  Meglucycline;(2...  Meglumine Cycli...