Online Database of Chemicals from Around the World

Megalomycin A 4'-O-Acetate
[CAS 49669-75-2]

Suppliers
CAS#: 49669-75-2
Product: Megalomycin A 4'-O-Acetate
No suppilers available for the product.
Identification
Name Megalomycin A 4'-O-Acetate
Synonyms [(2S,3S,4R,6R)-6-[[(3R,4S,5S,6R,7R,9R,11R,12R,13S,14R)-6-[(2S,3R,4S,6R)-4-Dimethylamino-3-Hydroxy-6-Methyl-Tetrahydropyran-2-Yl]Oxy-7-[(2S,4R,5R,6S)-4-Dimethylamino-5-Hydroxy-6-Methyl-Tetrahydropyran-2-Yl]Oxy-14-Ethyl-12,13-Dihydroxy-3,5,7,9,11,13-Hexamethyl-2,10-Dioxo-1-Oxacyclotetradec-4-Yl]Oxy]-4-Hydroxy-2,4-Dimethyl-Tetrahydropyran-3-Yl] Acetate; Acetic Acid [(2S,3S,4R,6R)-6-[[(3R,4S,5S,6R,7R,9R,11R,12R,13S,14R)-6-[[(2S,3R,4S,6R)-4-Dimethylamino-3-Hydroxy-6-Methyl-2-Tetrahydropyranyl]Oxy]-7-[[(2S,4R,5R,6S)-4-Dimethylamino-5-Hydroxy-6-Methyl-2-Tetrahydropyranyl]Oxy]-14-Ethyl-12,13-Dihydroxy-3,5,7,9,11,13-Hexamethyl-2,10-Dioxo-1-Oxacyclotetradec-4-Yl]Oxy]-4-Hydroxy-2,4-Dimethyl-3-Tetrahydropyranyl] Ester; Acetic Acid [(2S,3S,4R,6R)-6-[[(3R,4S,5S,6R,7R,9R,11R,12R,13S,14R)-6-[(2S,3R,4S,6R)-4-Dimethylamino-3-Hydroxy-6-Methyl-Tetrahydropyran-2-Yl]Oxy-7-[(2S,4R,5R,6S)-4-Dimethylamino-5-Hydroxy-6-Methyl-Tetrahydropyran-2-Yl]Oxy-14-Ethyl-12,13-Dihydroxy-2,10-Diketo-3,5,7,9,11,13-Hexamethyl-1-Oxacyclotetradec-4-Yl]Oxy]-4-Hydroxy-2,4-Dimethyl-Tetrahydropyran-3-Yl] Ester
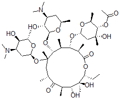
Molecular Structure CAS#: 49669-75-2, Megalomycin A 4'-O-Acetate
Molecular Formula C46H82N2O16
Molecular Weight 919.16
CAS Registry Number 49669-75-2
SMILES [C@@]4(O[C@@H]1O[C@H]([C@H](O)[C@H](N(C)C)C1)C)([C@H](O[C@@H]2O[C@@H](C[C@H](N(C)C)[C@H]2O)C)[C@H]([C@H](O[C@@H]3O[C@H]([C@H](OC(=O)C)[C@](O)(C3)C)C)[C@H](C(O[C@@H]([C@@](O)([C@H](O)[C@H](C(=O)[C@@H](C4)C)C)C)CC)=O)C)C)C
InChI 1S/C46H82N2O16/c1-17-32-46(12,56)39(53)24(4)35(50)22(2)20-45(11,64-33-19-31(48(15)16)36(51)27(7)58-33)40(63-43-37(52)30(47(13)14)18-23(3)57-43)25(5)38(26(6)42(54)61-32)62-34-21-44(10,55)41(28(8)59-34)60-29(9)49/h22-28,30-34,36-41,43,51-53,55-56H,17-21H2,1-16H3/t22-,23-,24+,25+,26-,27+,28+,30+,31-,32-,33+,34+,36+,37-,38+,39-,40-,41+,43+,44-,45-,46-/m1/s1
InChIKey WJOASKOPJZDBAH-WKBCHECCSA-N
Properties
Density 1.227g/cm3 (Cal.)
Boiling point 927.816°C at 760 mmHg (Cal.)
Flash point 514.925°C (Cal.)
Market Analysis Reports
Related Products
Mefeserpine;Mef...  Mefexamide Hydr...  Mefloquine  Mefloquine;(R*,...  Mefloquine hydr...  Mefloquine-Sulf...  Mefluidide;N-[2...  Mefruside;4-Chl...  Mefruside Lacto...  Megacarpidine;N...  Megalomycin C;[...  4,6,8-Megastigm...  4,7,9-Megastigm...  Megastigm-7-ene...  7-Megastigmene-...  Megestrol;17-Hy...  Megestrol Aceta...  Megestrol aceta...  Meglitinide;4-[...  Meglucycline;(2...