Online Database of Chemicals from Around the World

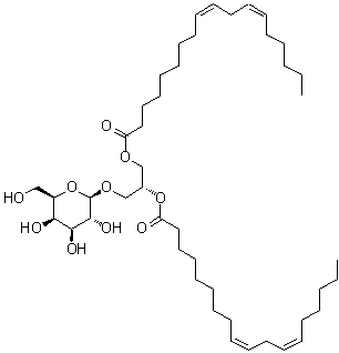
(2R)-2,3-Bis[[(9Z,12Z)-1-oxo-9,12-octadecadien-1-yl]oxy]propyl beta-D-galactopyranoside
[CAS 111187-15-6]

List of Suppliers
BOC Sciences USA
www.bocsci.com
+1 (631) 485-4226
+1 (631) 614-7828
info@bocsci.com
Chemical manufacturer
chemBlink Standard supplier since 2010
Chengdu Biopurify Phytochemicals Ltd. China
www.phytopurify.com
+86 (28) 8263-3860
8263-3987
+86 (28) 8263-3165
sales@biopurify.com
biopurify@gmail.com
QQ Chat
Skype Chat
Chemical manufacturer
chemBlink Standard supplier since 2017

Identification
Name(2R)-2,3-Bis[[(9Z,12Z)-1-oxo-9,12-octadecadien-1-yl]oxy]propyl beta-D-galactopyranoside
Molecular Structure(2R)-2,3-Bis[[(9Z,12Z)-1-oxo-9,12-octadecadien-1-yl]oxy]propyl beta-D-galactopyranoside molecular structure (CAS 111187-15-6)
Molecular FormulaC45H78O10
Molecular Weight779.09
CAS Registry Number111187-15-6
Properties
SolubilityInsoluble (8.6E-6 g/L) (25 °C), Calc.*
Density1.07±0.1 g/cm3 (20 °C 760 Torr), Calc.*
*Calculated using Advanced Chemistry Development (ACD/Labs) Software V11.02 (©1994-2015 ACD/Labs)
Safety Data
SDSAvailable
Market Analysis Reports
Related Products
2,2-Bis[[(1-Oxo...  5-[2-[2,3-Bis(1...  S-[2,3-Bis[(1-o...  2,6-Bis[(1-Oxoh...  2,2-Bis[[(1-Oxo...  Bis(1-Oxoisonon...  Bis(Oxolan-2-Yl...  2,2-Bis[[(1-Oxo...  Bis(1-Oxononyl)...  (9Z,12Z)-2,2-Bi...  2,3-Bis(14-Oxoo...  (Z,Z)-1,4-Bis[2...  4-[Bis[2-[(1-Ox...  [3-[Bis[2-[(1-O...  N,N'-Bis[2-[(1-...  2,2-Bis[[(1-Oxo...  N,N'-Bis(1-Oxoo...  N2,N6-Bis(1-Oxo...  2,2-Bis[[(1-Oxo...  2,2-Bis[[(1-Oxo...