|
CAS#: 115044-45-6 Product: 5-[2-[2,3-Bis(1-oxohexadecoxy)propoxy-hydroxyphosphoryl]oxyethylsulfamoyl]-2-(3-diethylamino-6-diethylazaniumylidene-9-xanthenyl)benzenesulfonate No suppilers available for the product. |
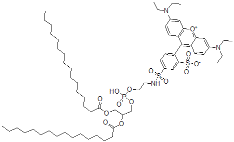
| Name | 5-[2-[2,3-Bis(1-oxohexadecoxy)propoxy-hydroxyphosphoryl]oxyethylsulfamoyl]-2-(3-diethylamino-6-diethylazaniumylidene-9-xanthenyl)benzenesulfonate |
|---|---|
| Synonyms | 2-(3-Diethylamino-6-Diethylazaniumylidene-Xanthen-9-Yl)-5-[2-[2,3-Di(Hexadecanoyloxy)Propoxy-Hydroxy-Phosphoryl]Oxyethylsulfamoyl]Benzenesulfonate; 5-[2-[2,3-Bis(1-Oxohexadecoxy)Propoxy-Hydroxyphosphoryl]Oxyethylsulfamoyl]-2-(3-Diethylamino-6-Diethylazaniumylidene-9-Xanthenyl)Benzenesulfonate; N-(Lissamine-Rhodamine B Sulfonyl)-1,2-Dipalmitoyl-Sn-Glycero-3-Phosphoethanolamine |
| Molecular Structure | ![]() |
| Molecular Formula | C64H102N3O14PS2 |
| Molecular Weight | 1232.62 |
| CAS Registry Number | 115044-45-6 |
| SMILES | [O+]2=C4C(=C(C1=CC=C([S](=O)(=O)NCCO[P](OCC(OC(=O)CCCCCCCCCCCCCCC)COC(=O)CCCCCCCCCCCCCCC)(=O)O)C=C1[S]([O-])(=O)=O)C3=C2C=C(N(CC)CC)C=C3)C=CC(=C4)N(CC)CC |
| InChI | 1S/C64H102N3O14PS2/c1-7-13-15-17-19-21-23-25-27-29-31-33-35-37-62(68)77-50-54(80-63(69)38-36-34-32-30-28-26-24-22-20-18-16-14-8-2)51-79-82(70,71)78-46-45-65-83(72,73)55-41-44-58(61(49-55)84(74,75)76)64-56-42-39-52(66(9-3)10-4)47-59(56)81-60-48-53(40-43-57(60)64)67(11-5)12-6/h39-44,47-49,54,65H,7-38,45-46,50-51H2,1-6H3,(H-,70,71,74,75,76) |
| InChIKey | NHMNXIHGKOHXQR-UHFFFAOYSA-N |
| Market Analysis Reports |