Online Database of Chemicals from Around the World

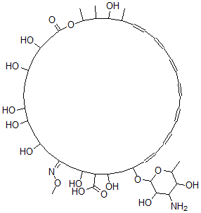
(14Z,21E,23E,25E,27E,29E,31E,33E)-20-(4-Amino-3,5-Dihydroxy-6-Methyloxan-2-Yl)Oxy-4,6,9,10,12,16,18,36-Octahydroxy-14-Methoxyimino-35,37,38-Trimethyl-2-Oxo-1-Oxacyclooctatriaconta-21,23,25,27,29,31,33-Heptaene-17-Carboxylic Acid
[CAS 132202-02-9]

Suppliers
CAS#: 132202-02-9
Product: (14Z,21E,23E,25E,27E,29E,31E,33E)-20-(4-Amino-3,5-Dihydroxy-6-Methyloxan-2-Yl)Oxy-4,6,9,10,12,16,18,36-Octahydroxy-14-Methoxyimino-35,37,38-Trimethyl-2-Oxo-1-Oxacyclooctatriaconta-21,23,25,27,29,31,33-Heptaene-17-Carboxylic Acid
No suppilers available for the product.
Identification
Name (14Z,21E,23E,25E,27E,29E,31E,33E)-20-(4-Amino-3,5-Dihydroxy-6-Methyloxan-2-Yl)Oxy-4,6,9,10,12,16,18,36-Octahydroxy-14-Methoxyimino-35,37,38-Trimethyl-2-Oxo-1-Oxacyclooctatriaconta-21,23,25,27,29,31,33-Heptaene-17-Carboxylic Acid
Synonyms (14Z,21E,23E,25E,27E,29E,31E,33E)-20-(4-Amino-3,5-Dihydroxy-6-Methyl-Tetrahydropyran-2-Yl)Oxy-4,6,9,10,12,16,18,36-Octahydroxy-14-Methoxyimino-35,37,38-Trimethyl-2-Oxo-1-Oxacyclooctatriaconta-21,23,25,27,29,31,33-Heptaene-17-Carboxylic Acid; (14Z,21E,23E,25E,27E,29E,31E,33E)-20-[(4-Amino-3,5-Dihydroxy-6-Methyl-2-Tetrahydropyranyl)Oxy]-4,6,9,10,12,16,18,36-Octahydroxy-14-Methoxyimino-35,37,38-Trimethyl-2-Oxo-1-Oxacyclooctatriaconta-21,23,25,27,29,31,33-Heptaene-17-Carboxylic Acid; (14Z,21E,23E,25E,27E,29E,31E,33E)-20-(4-Amino-3,5-Dihydroxy-6-Methyl-Tetrahydropyran-2-Yl)Oxy-4,6,9,10,12,16,18,36-Octahydroxy-2-Keto-14-Methoxyimino-35,37,38-Trimethyl-1-Oxacyclooctatriaconta-21,23,25,27,29,31,33-Heptaene-17-Carboxylic Acid
Molecular Structure CAS#: 132202-02-9, (14Z,21E,23E,25E,27E,29E,31E,33E)-20-(4-Amino-3,5-Dihydroxy-6-Methyloxan-2-Yl)Oxy-4,6,9,10,12,16,18,36-Octahydroxy-14-Methoxyimino-35,37,38-Trimethyl-2-Oxo-1-Oxacyclooctatriaconta-21,23,25,27,29,31,33-Heptaene-17-Carboxylic Acid
Molecular Formula C48H76N2O17
Molecular Weight 953.13
CAS Registry Number 132202-02-9
SMILES CC2OC(OC\1CC(O)C(C(O)C\C(=N/OC)CC(O)CC(O)C(O)CCC(O)CC(O)CC(OC(C(C(O)C(/C=C/C=C/C=C/C=C/C=C/C=C/C=C1)C)C)C)=O)C(=O)O)C(O)C(N)C2O
InChI 1S/C48H76N2O17/c1-28-18-16-14-12-10-8-6-7-9-11-13-15-17-19-36(67-48-46(61)43(49)45(60)31(4)66-48)27-40(57)42(47(62)63)39(56)23-32(50-64-5)22-34(52)25-38(55)37(54)21-20-33(51)24-35(53)26-41(58)65-30(3)29(2)44(28)59/h6-19,28-31,33-40,42-46,48,51-57,59-61H,20-27,49H2,1-5H3,(H,62,63)/b7-6+,10-8+,11-9+,14-12+,15-13+,18-16+,19-17+,50-32-
InChIKey WRIFSYOHYWWNKF-DICVFRNESA-N
Market Analysis Reports
Related Products
(2S)-2-Amino-N,...  1-Amino-4,8-Dih...  (3aS,4R,6S,7S,7...  (3S,4S,5S)-3-Am...  (23E,25E,27E,29...  (23E,25E,27E,29...  (6Z,10Z)-3-[(2R...  (6E,10Z)-3-[(2R...  (3R,7S,10R,11R)...  (3R,4S,7R,11S)-...  (4E,6E,8E,10Z)-...  10-(4-Amino-3,5...  (3R,7S,10R,11R)...  (2S)-2-Amino-4,...  2-Amino-4,6-dih...  5-Amino-2,4-Dih...  3-Amino-5,5-dih...  (23E,25E,27E,29...  (7E,13E,15E,17E...  (7E,13E,15E,17E...