|
CAS#: 36480-36-1 Product: (3S,4S,5S)-3-Amino-4,5-Dihydroxy-3-Methylhexanal No suppilers available for the product. |
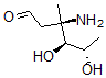
| Name | (3S,4S,5S)-3-Amino-4,5-Dihydroxy-3-Methylhexanal |
|---|---|
| Synonyms | (3S,4S,5S)-3-Amino-4,5-Dihydroxy-3-Methyl-Hexanal; 3-Amino-2,3,6-Trideoxy-3-Methyl-L-Lyxo-Hexopyranose; L-Lyxo-Hexose, 3-Amino-2,3,6-Trideoxy-3-C-Methyl- |
| Molecular Structure | ![]() |
| Molecular Formula | C7H15NO3 |
| Molecular Weight | 161.20 |
| CAS Registry Number | 36480-36-1 |
| SMILES | [C@@](CC=O)(C)([C@@H]([C@H](C)O)O)N |
| InChI | 1S/C7H15NO3/c1-5(10)6(11)7(2,8)3-4-9/h4-6,10-11H,3,8H2,1-2H3/t5-,6+,7-/m0/s1 |
| InChIKey | IJSNCWAAHIVVGJ-XVMARJQXSA-N |
| Density | 1.144g/cm3 (Cal.) |
|---|---|
| Boiling point | 343.247°C at 760 mmHg (Cal.) |
| Flash point | 161.39°C (Cal.) |
| Market Analysis Reports |