Online Database of Chemicals from Around the World

1-[19-Amino-7,10-Bis(2-Amino-2-Oxoethyl)-13-Butan-2-Yl-16-[(4-Hydroxyphenyl)Methyl]-6,9,12,15,18-Pentaoxo-1,2-Dithia-5,8,11,14,17-Pentazacycloicosane-4-Carbonyl]-N-[1-[(2-Amino-2-Oxoethyl)Amino]-3-Methyl-1-Oxobutan-2-Yl]Pyrrolidine-2-Carboxamide
[CAS 144334-52-1]

Suppliers
Achemica Switzerland
+41 (24) 466-2929
contact@achemica.com
Chemical manufacturer since 2010
Identification
Name 1-[19-Amino-7,10-Bis(2-Amino-2-Oxoethyl)-13-Butan-2-Yl-16-[(4-Hydroxyphenyl)Methyl]-6,9,12,15,18-Pentaoxo-1,2-Dithia-5,8,11,14,17-Pentazacycloicosane-4-Carbonyl]-N-[1-[(2-Amino-2-Oxoethyl)Amino]-3-Methyl-1-Oxobutan-2-Yl]Pyrrolidine-2-Carboxamide
Synonyms 1-[19-Amino-7,10-Bis(2-Amino-2-Oxo-Ethyl)-16-[(4-Hydroxyphenyl)Methyl]-6,9,12,15,18-Pentaoxo-13-Sec-Butyl-1,2-Dithia-5,8,11,14,17-Pentazacycloicosane-4-Carbonyl]-N-[1-[(2-Amino-2-Oxo-Ethyl)Carbamoyl]-2-Methyl-Propyl]Pyrrolidine-2-Carboxamide; 1-[[19-Amino-7,10-Bis(2-Amino-2-Oxoethyl)-16-[(4-Hydroxyphenyl)Methyl]-6,9,12,15,18-Pentaoxo-13-Sec-Butyl-1,2-Dithia-5,8,11,14,17-Pentazacycloicos-4-Yl]-Oxomethyl]-N-[1-[[(2-Amino-2-Oxoethyl)Amino]-Oxomethyl]-2-Methylpropyl]-2-Pyrrolidinecarboxamide; 1-[19-Amino-7,10-Bis(2-Amino-2-Keto-Ethyl)-16-(4-Hydroxybenzyl)-6,9,12,15,18-Pentaketo-13-Sec-Butyl-1,2-Dithia-5,8,11,14,17-Pentazacycloicosane-4-Carbonyl]-N-[1-[(2-Amino-2-Keto-Ethyl)Carbamoyl]-2-Methyl-Propyl]Pyrrolidine-2-Carboxamide
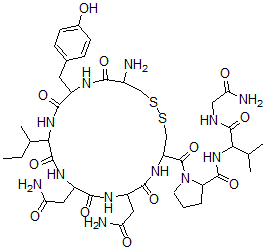
Molecular Structure CAS#: 144334-52-1, 1-[19-Amino-7,10-Bis(2-Amino-2-Oxoethyl)-13-Butan-2-Yl-16-[(4-Hydroxyphenyl)Methyl]-6,9,12,15,18-Pentaoxo-1,2-Dithia-5,8,11,14,17-Pentazacycloicosane-4-Carbonyl]-N-[1-[(2-Amino-2-Oxoethyl)Amino]-3-Methyl-1-Oxobutan-2-Yl]Pyrrolidine-2-Carboxamide
Molecular Formula C41H62N12O12S2
Molecular Weight 979.13
CAS Registry Number 144334-52-1
SMILES C3=C(CC1NC(=O)C(N)CSSCC(NC(=O)C(NC(=O)C(NC(=O)C(NC1=O)C(CC)C)CC(=O)N)CC(=O)N)C(=O)N2C(C(=O)NC(C(=O)NCC(=O)N)C(C)C)CCC2)C=CC(=C3)O
InChI 1S/C41H62N12O12S2/c1-5-20(4)33-40(64)49-26(15-30(44)56)35(59)48-25(14-29(43)55)36(60)50-27(41(65)53-12-6-7-28(53)38(62)51-32(19(2)3)39(63)46-16-31(45)57)18-67-66-17-23(42)34(58)47-24(37(61)52-33)13-21-8-10-22(54)11-9-21/h8-11,19-20,23-28,32-33,54H,5-7,12-18,42H2,1-4H3,(H2,43,55)(H2,44,56)(H2,45,57)(H,46,63)(H,47,58)(H,48,59)(H,49,64)(H,50,60)(H,51,62)(H,52,61)
InChIKey GUXCJKRYHLCHKV-UHFFFAOYSA-N
Properties
Density 1.289g/cm3 (Cal.)
Boiling point 1543.636°C at 760 mmHg (Cal.)
Flash point 887.359°C (Cal.)
Market Analysis Reports
Related Products
alpha-(4'-Amino...  3-Amino-3-(4-bi...  3-Amino-3-Biphe...  2-Amino-4-(4-Bi...  4-Amino-[1,4'-b...  6-Amino-2,2'-bi...  3-Amino-5-[[[2,...  N-({(1R,4S,7S,1...  3-Amino-N,N'-Bi...  2-Amino-3-[3,5-...  1-[19-Amino-7,1...  4-Amino-3,6-Bis...  4-Amino-3,6-Bis...  4-Amino-3,6-Bis...  Amino[3,4-bis(b...  3-Amino-3-[3,4-...  1-Amino-4-[[3,5...  4-Amino-1-[3,5-...  beta-Amino-4-[B...  2-Amino-7-[Bis(...