Online Database of Chemicals from Around the World

3-Amino-N,N'-Bis[1-[4-(4-Amino-5-Hydroxy-6-Methyloxan-2-Yl)Oxy-2,5,12-Trihydroxy-6,11-Dioxo-3,4-Dihydro-1H-Tetracen-2-Yl]Ethylideneamino]Pentanediamide Trihydrochloride
[CAS 77313-12-3]

Suppliers
CAS#: 77313-12-3
Product: 3-Amino-N,N'-Bis[1-[4-(4-Amino-5-Hydroxy-6-Methyloxan-2-Yl)Oxy-2,5,12-Trihydroxy-6,11-Dioxo-3,4-Dihydro-1H-Tetracen-2-Yl]Ethylideneamino]Pentanediamide Trihydrochloride
No suppilers available for the product.
Identification
Name 3-Amino-N,N'-Bis[1-[4-(4-Amino-5-Hydroxy-6-Methyloxan-2-Yl)Oxy-2,5,12-Trihydroxy-6,11-Dioxo-3,4-Dihydro-1H-Tetracen-2-Yl]Ethylideneamino]Pentanediamide Trihydrochloride
Synonyms 3-Amino-N,N'-Bis[1-[4-(4-Amino-5-Hydroxy-6-Methyl-Tetrahydropyran-2-Yl)Oxy-2,5,12-Trihydroxy-6,11-Dioxo-3,4-Dihydro-1H-Tetracen-2-Yl]Ethylideneamino]Pentanediamide Trihydrochloride; 3-Amino-N,N'-Bis[1-[4-[(4-Amino-5-Hydroxy-6-Methyl-2-Tetrahydropyranyl)Oxy]-2,5,12-Trihydroxy-6,11-Dioxo-3,4-Dihydro-1H-Tetracen-2-Yl]Ethylideneamino]Pentanediamide Trihydrochloride; 3-Amino-N,N'-Bis[1-[4-(4-Amino-5-Hydroxy-6-Methyl-Tetrahydropyran-2-Yl)Oxy-2,5,12-Trihydroxy-6,11-Diketo-3,4-Dihydro-1H-Tetracen-2-Yl]Ethylideneamino]Glutaramide Trihydrochloride
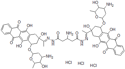
Molecular Structure CAS#: 77313-12-3, 3-Amino-N,N'-Bis[1-[4-(4-Amino-5-Hydroxy-6-Methyloxan-2-Yl)Oxy-2,5,12-Trihydroxy-6,11-Dioxo-3,4-Dihydro-1H-Tetracen-2-Yl]Ethylideneamino]Pentanediamide Trihydrochloride
Molecular Formula C57H66Cl3N7O18
Molecular Weight 1243.54
CAS Registry Number 77313-12-3
SMILES N(\N=C(\C2(O)CC(OC1OC(C(O)C(N)C1)C)C3=C(C2)C(=C5C(=C3O)C(=O)C4=CC=CC=C4C5=O)O)C)C(=O)CC(N)CC(=O)N\N=C(\C7(O)CC(OC6OC(C(O)C(N)C6)C)C8=C(C7)C(=C%10C(=C8O)C(=O)C9=CC=CC=C9C%10=O)O)C.[H+].[H+].[H+].[Cl-].[Cl-].[Cl-]
InChI 1S/C57H63N7O18.3ClH/c1-21-46(67)32(59)15-38(79-21)81-34-19-56(77,17-30-40(34)54(75)44-42(52(30)73)48(69)26-9-5-7-11-28(26)50(44)71)23(3)61-63-36(65)13-25(58)14-37(66)64-62-24(4)57(78)18-31-41(35(20-57)82-39-16-33(60)47(68)22(2)80-39)55(76)45-43(53(31)74)49(70)27-10-6-8-12-29(27)51(45)72;;;/h5-12,21-22,25,32-35,38-39,46-47,67-68,73-78H,13-20,58-60H2,1-4H3,(H,63,65)(H,64,66);3*1H/b61-23+,62-24+;;;
InChIKey FGUXPSZWORBDMC-CAIDVHOESA-N
Market Analysis Reports
Related Products
(2R,4S)-4-Amino...  (2R,4S)-4-amino...  alpha-(4'-Amino...  3-Amino-3-(4-bi...  3-Amino-3-Biphe...  2-Amino-4-(4-Bi...  4-Amino-[1,4'-b...  6-Amino-2,2'-bi...  3-Amino-5-[[[2,...  N-({(1R,4S,7S,1...  2-Amino-3-[3,5-...  1-[19-Amino-7,1...  1-[19-Amino-7,1...  4-Amino-3,6-Bis...  4-Amino-3,6-Bis...  4-Amino-3,6-Bis...  Amino[3,4-bis(b...  3-Amino-3-[3,4-...  1-Amino-4-[[3,5...  4-Amino-1-[3,5-...