Online Database of Chemicals from Around the World

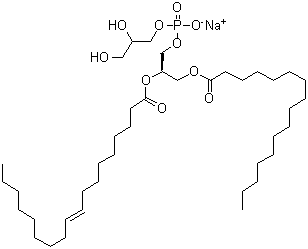
1-Palmitoyl-2-oleoyl-sn-glycero-3-phospho-(1'-rac-glycerol) sodium salt
[CAS 268550-95-4]

List of Suppliers
Sigma-Aldrich, Inc. China
www.sigmaaldrich.com
+86 (21) 6141-5566
800-819-3336
orderCN@sial.com
Chemical manufacturer since 1992
chemBlink Standard supplier since 2013

Identification
Name1-Palmitoyl-2-oleoyl-sn-glycero-3-phospho-(1'-rac-glycerol) sodium salt
Molecular Structure1-Palmitoyl-2-oleoyl-sn-glycero-3-phospho-(1'-rac-glycerol) sodium salt molecular structure (CAS 268550-95-4)
Molecular FormulaC40H77O10P.Na
Molecular Weight772.00
CAS Registry Number268550-95-4
Safety Data
SDSAvailable
Market Analysis Reports
Related Products
1-Palmitoyl-2-L...  1-Palmitoyl-Lys...  Palmitoyl Lyso-...  N(alpha)-Palmit...  N-Palmitoylmeth...  rac 1-Palmitoyl...  1-Palmitoyl-2-O...  1-Palmitoyl-2-O...  1-Palmitoyl-2-O...  1-Palmitoyl-2-o...  1-Palmitoyl-2-o...  N(alpha)-Palmit...  (Palmitoyloxy)-...  2-(Palmitoyloxy...  1-(Palmitoyloxy...  2-(Palmitoyloxy...  11-Palmitoyloxy...  1-Palmitoyl-2-P...  1-Palmitoyl-2-(...  1-Palmitoylphos...