Online Database of Chemicals from Around the World

1-Palmitoyl-2-Oleoylphosphatidylcholine
[CAS 6753-55-5]

Suppliers
Santa Cruz Biotechnology, Inc. USA
+1 (831) 457-3800
scbt@scbt.com
Chemical manufacturer
Identification
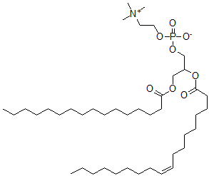
Name 1-Palmitoyl-2-Oleoylphosphatidylcholine
Synonyms [3-Hexadecanoyloxy-2-[(Z)-Octadec-9-Enoyl]Oxy-Propyl] 2-Trimethylammonioethyl Phosphate; [3-(1-Oxohexadecoxy)-2-[(Z)-1-Oxooctadec-9-Enoxy]Propyl] 2-Trimethylammonioethyl Phosphate; [3-Hexadecanoyloxy-2-[(Z)-Octadec-9-Enoyl]Oxy-Propyl] 2-Trimethylazaniumylethyl Phosphate
Molecular Structure CAS#: 6753-55-5, 1-Palmitoyl-2-Oleoylphosphatidylcholine
Molecular Formula C42H82NO8P
Molecular Weight 760.09
CAS Registry Number 6753-55-5
SMILES C(C(COC(CCCCCCCCCCCCCCC)=O)OC(CCCCCCC\C=C/CCCCCCCC)=O)O[P](OCC[N+](C)(C)C)(=O)[O-]
InChI 1S/C42H82NO8P/c1-6-8-10-12-14-16-18-20-21-23-25-27-29-31-33-35-42(45)51-40(39-50-52(46,47)49-37-36-43(3,4)5)38-48-41(44)34-32-30-28-26-24-22-19-17-15-13-11-9-7-2/h20-21,40H,6-19,22-39H2,1-5H3/b21-20-
InChIKey WTJKGGKOPKCXLL-MRCUWXFGSA-N
Market Analysis Reports
Related Products
rac-1-Palmitoyl...  1-Palmitoyl-2-l...  1-Palmitoyl-2-L...  1-Palmitoyl-2-L...  1-Palmitoyl-Lys...  Palmitoyl Lyso-...  N(alpha)-Palmit...  N-Palmitoylmeth...  rac 1-Palmitoyl...  1-Palmitoyl-2-O...  1-Palmitoyl-2-O...  1-Palmitoyl-2-o...  1-Palmitoyl-2-o...  1-Palmitoyl-2-o...  N(alpha)-Palmit...  (Palmitoyloxy)-...  2-(Palmitoyloxy...  1-(Palmitoyloxy...  2-(Palmitoyloxy...  11-Palmitoyloxy...