| Alfa Chemistry | USA | |||
|---|---|---|---|---|
![]() |
+1 (201) 478-8534 | |||
![]() |
inquiry@alfa-chemistry.com | |||
| Chemical distributor since 2012 | ||||
| chemBlink standard supplier since 2012 | ||||
| BOC Sciences | USA | |||
|---|---|---|---|---|
![]() |
+1 (631) 485-4226 | |||
![]() |
info@bocsci.com | |||
![]() |
Skype Chat | |||
| Chemical distributor | ||||
| chemBlink massive supplier since 2012 | ||||
| Omicron Biochemicals, Inc. | USA | |||
|---|---|---|---|---|
![]() |
+1 (574) 287-6910 | |||
![]() |
omicron@omicronbio.com | |||
| Chemical manufacturer | ||||
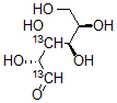
| Name | D-Glucose-1,3-13C2 |
|---|---|
| Molecular Structure | ![]() |
| CAS Registry Number | 478529-30-5 |
| Market Analysis Reports |