Online Database of Chemicals from Around the World

D-Glucose-4,6-13C2
[CAS 478529-45-2]

Suppliers
Alfa Chemistry USA
+1 (201) 478-8534
inquiry@alfa-chemistry.com
Chemical distributor since 2012
chemBlink standard supplier since 2012
BOC Sciences USA
+1 (631) 485-4226
info@bocsci.com
Skype Chat
Chemical distributor
chemBlink massive supplier since 2012
Omicron Biochemicals, Inc. USA
+1 (574) 287-6910
omicron@omicronbio.com
Chemical manufacturer
Identification
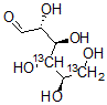
Name D-Glucose-4,6-13C2
Molecular Structure CAS#: 478529-45-2, D-Glucose-4,6-13C2
CAS Registry Number 478529-45-2
Market Analysis Reports
Related Products
D-Glucose-1-18O  D-Glucose-6-14C...  GLUCOSE, D-, [2...  D-Glucose-1-14C...  D-Glucose-1-13C  L-Glucose-1-13C  L-Glucose-2-13C  D-Glucose-1,3-1...  D-Glucose-4,5-1...  D-Glucose-1,2,3...  D-Glucose-5,6-1...  D-Glucose-4,5,6...  D-Glucose-4,5,6...  beta-D-Glucose  alpha-D-Glucose...  D(+)-Glucose;D-...  D-Glucose-3-C-d  D-Glucose-4-C-d  D-Glucose;D-glu...  D-Glucose-1,2,3...