全球化学品在线数据库

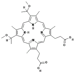
2,4-二-(alpha-甲氧基乙基)次卟啉-Ix二钾盐
[CAS 31444-62-9]

供应商
Asinex Ltd. 俄罗斯
+7 (495) 780-3415 / 780-3417
lsadovenko@asinex.com,
化学品生产商
基本信息
产品名称 2,4-二-(alpha-甲氧基乙基)次卟啉-Ix二钾盐
英文名 2,4-Di-(alpha-methoxyethyl)deuteroporphyrin-IX dipotassium salt
别名 Bas 00337971; 2,4-Di-(Alpha-Methoxyethyl)Deuteroporphyrin Ix; 2,4-Di-(Alpha-Methoxyethyl)Deuteroporphyrin-Ix Dipotassium Salt
分子结构 CAS 登录号:31444-62-9, 2,4-二-(alpha-甲氧基乙基)次卟啉-Ix二钾盐
分子式 C36H42N4O6
分子量 626.75
CAS 登录号 31444-62-9
分子行输入简码 SMILES C(C1=C(C3=NC1=CC5=NC(=CC2=C(C(=C([NH]2)C=C4[NH]C(=C3)C(=C4C)C(OC)C)C(OC)C)C)C(=C5CCC(O)=O)C)C)CC(O)=O
国际化学标识码 InChI 1S/C36H42N4O6/c1-17-23(9-11-33(41)42)29-16-30-24(10-12-34(43)44)18(2)26(38-30)14-31-36(22(6)46-8)20(4)28(40-31)15-32-35(21(5)45-7)19(3)27(39-32)13-25(17)37-29/h13-16,21-22,39-40H,9-12H2,1-8H3,(H,41,42)(H,43,44)
国际化学标识检索码 InChIKey RGPDNICUOPAPHO-UHFFFAOYSA-N
物理化学性质
密度 1.243g/cm3 (计算值)
沸点 1085.219°C at 760 mmHg (计算值)
闪点 610.119°C (计算值)
市场分析报告
相关产品
二-(9Z)-9-十八碳烯-1...  1,2-二-(9Z-十八碳烯酰...  3,3'-二(alpha-(三...  二(alpha,2-二氯-苯亚...  二(alpha-苯基乙基)硫醚  2,4-二(alpha-碘乙酰...  N,N-二(alpha-碘乙酰...  1,4-二(alpha-甲基苯...  (R,R)-(+)-二(alp...  N,N'-二(alpha-甲基...  二(alpha-氯-2-硝基苄...  二(alpha-氯甲苯基)醚  二(alpha-氯乙基)醚  二(alpha-生育酚)磷酸酯  二(alpha-溴乙酰基-ep...  4,4'-二(alpha-亚胺...  3-二(3-氨基苯基)砷烷基苯...  2,2-二(氨基甲基)-1,3...  3,5-二(氨基甲基)-1H-...  1-[4,4-二(氨基甲基)-...