全球化学品在线数据库

1,2-二-(9Z-十八碳烯酰基)-sn-甘油-3-磷酰-L-丝氨酸钠盐
[CAS 90693-88-2]

供应商目录
上海华升生物科技有限公司 中国
www.growingchem.com
+86 (21) 5080-0795
+86 (21) 6496-3699
sales@growingchem.com
syzhang1983@163.com
QQ Chat
化学品生产商 (2008年起)
chemBlink 标准供应商 (2009年起)
上海朗旭生物科技有限公司 中国
www.shochem.com
+86 (21) 5178-3479
info@shochem.com
QQ Chat
化学品生产商 (2016年起)
chemBlink 标准供应商 (2018年起)
重庆渝偲医药科技有限公司 中国
www.yusiyy.com
+86 (023) 6279-5528
3279537175@qq.com
QQ Chat
化学品生产商 (2020年起)
chemBlink 标准供应商 (2022年起)

基本信息
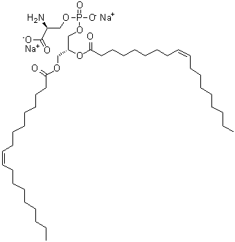
产品名称1,2-二-(9Z-十八碳烯酰基)-sn-甘油-3-磷酰-L-丝氨酸钠盐
英文名1,2-Di-(9Z-octadecenoyl)-sn-glycero-3-phospho-L-serine sodium salt
别名(2S,8R,19Z)-2-Amino-5-hydroxy-11-oxo-8-[[(9Z)-1-oxo-9-octadecenyl]oxy]-4,6,10-trioxa-5-phosphaoctacos-19-enoic acid 5-oxide sodium salt (1:1); 1,2-Dioleoyl-sn-glycero-3-phospho-L-serine sodium salt; Coatsome MS 8181LS
分子结构1,2-二-(9Z-十八碳烯酰基)-sn-甘油-3-磷酰-L-丝氨酸钠盐分子结构 (CAS 90693-88-2)
分子式C42H78NO10P.Na
分子量811.03
CAS 登录号90693-88-2
市场分析报告
相关产品
2,8-二(9H-咔唑-9-基...  2,7-二(9H-芴-2-基)...  1,3-二(9H-氧杂蒽-9-...  5,5-二(9-甲基-9H-咔...  4,4'-二(9-咔唑)联苯  2,7-二(9-咔唑基)-9,...  N,N-二(9-硼杂双环[3....  N,N'-二(9-吖啶基)-4...  1,7-二(9-吖啶基)庚烷  二-(9Z)-9-十八碳烯-1...  3,3'-二(alpha-(三...  二(alpha,2-二氯-苯亚...  二(alpha-苯基乙基)硫醚  2,4-二(alpha-碘乙酰...  N,N-二(alpha-碘乙酰...  1,4-二(alpha-甲基苯...  (R,R)-(+)-二(alp...  N,N'-二(alpha-甲基...  2,4-二-(alpha-甲氧...  二(alpha-氯-2-硝基苄...